Are you hoping to find 'chieftest mourner'? Here you can find all of the details.
Table of contents
- Chieftest mourner in 2021
- Chieftest mourner analysis
- Chieftest mourner meaning
- Professional mourners salary
- The chieftest mourner main characters
- The chieftest mourner slideshare
- Rent a mourner usa
- Chieftest mourner characters
Chieftest mourner in 2021

Chieftest mourner analysis

Chieftest mourner meaning
Professional mourners salary
The chieftest mourner main characters
The chieftest mourner slideshare
Rent a mourner usa
Chieftest mourner characters

Can a legal wife be the chieftest mourner?
Based on the law, it was the legal wife who should be honored, but based on love the mistress is the one who deserves it more. In the end the mistress let the legal wife to be the chiefest mourner and this is what you call real love that the legal wife doesn’t have.
Where was Aunt Sophia sitting in the chieftest mourner?
Aida Rivera-Ford used symbolisms for the reason of showing the depths of the wives love for their husband. … Aunt Sophia was sitting in one of the front pews at the right section of the chapel. She had on a black and white print which managed to display its full yardage over the seat.
Who is the chieftest mourner in Aida Rivera Ford?
The story shows how Esa gave her passionate love for the poet. Thus, Esa is the Chieftest Mourner. Loading... Be the first to like this. You are commenting using your WordPress.com account.
Why was the chieftest mourner named that way?
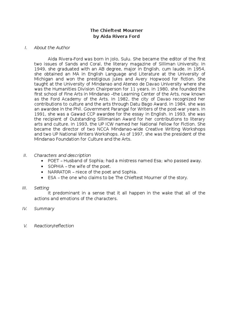
-The Chieftest Mourner By Aida Rivera Ford 1. Explain the title. In what way is it suitable to the story. The chieftest Mourner is the title chose by Aida Rivera Ford because it discusses in the story of the two wives that were on the wake of the poet.
Last Update: Oct 2021
Leave a reply
Comments
Christepher
27.10.2021 12:49Download & view the chieftest mourner every bit pdf for footloose.